YIHOO Anti-Static AS601
| 青岛银荷普利新材料科技有限公司 | |||
| QINGDAO YIHOO POLYMER TECHNOLOGY CO. LTD. | |||
| TECHNICAL DATA SHEET | |||
| YIHOO Anti-Static AS601 | |||
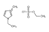
| 化学名称 | 1-乙基-3-甲基咪唑鎓乙基硫酸盐 | ||
| CAS 号 | 342573-75-5 | ||
| 分子结构 | ![]() | ||
| 产品形态 | 无色至微黄色透明液体 | ||
| 规格 | 测试项目 | 指标 | |
| 熔点 (℃) | <-20 | ||
| 气味 | 无味 (不挥发) | ||
| pH 值 | ~8.2 | ||
| 折光率 | 1.479 | ||
| 密度 | 1.236 (298.15K) | ||
| 应用 | YIHOO Anti-Static AS601 是一种高效的抗静电添加剂,具有较低的熔点和优异的热稳定性。它与多种多元醇表现出优异的相容性,并可溶于醇类、水和极性溶剂。 本品专为广泛的聚氨酯应用(包括弹性体和热塑性聚氨酯)而设计,作为抗静电添加剂,在聚氨酯弹性体中的推荐添加量为 1% 至 5%。此外,它也适用于配制各种抗静电涂料。 | ||
| 包装 | / | ||









