YIHOO Anti-Static AS603
| 青岛银荷普利新材料科技有限公司 | |||
| QINGDAO YIHOO POLYMER TECHNOLOGY CO. LTD. | |||
| TECHNICAL DATA SHEET | |||
| YIHOO Anti-Static AS603 | |||
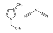
| 化学名称 | 1-乙基-3-甲基咪唑鎓二氰胺盐 | ||
| CAS 号 | 370865-89-7 | ||
| 分子结构 | ![]() | ||
| 产品形态 | 浅黄色至黄色透明液体 | ||
| 规格 | 测试项目 | 指标 | |
| 熔点 (℃) | -5 | ||
| 气味 | 无味 (不挥发) | ||
| pH 值 | 6~9 | ||
| 折光率 | 1.511 | ||
| 蒸汽压 | ~ 0Pa (分解前) | ||
| 应用 | YIHOO Anti-Static AS603 是一种高性能、中等极性的非反应型 100% 离子液体抗静电剂。它属于内添加型双氰胺盐离子液体,可提供持久、连续的抗静电性能。值得注意的是,它对目标产品的透明度、粘度、流动性及其他关键性能无负面影响。该产品紫外线吸收极低,因此不会干扰相关配方中光引发剂的选择。 它广泛适用于各种涂料体系、塑料添加剂配方以及聚氨酯发泡工艺。最佳用量需通过实际应用测试确定;推荐添加量为 0.2% 至 5%。 | ||
| 包装 | / | ||









