YIHOO AN1010
| 青岛银荷普利新材料科技有限公司 | |||
| QINGDAO YIHOO POLYMER TECHNOLOGY CO. LTD. | |||
| TECHNICAL DATA SHEET | |||
| YIHOO AN1010 | |||
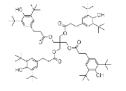
| 化学名称 | 季戊四醇四[3-(3,5-二叔丁基-4-羟基苯基)丙酸酯] | ||
| CAS 号 | 6683-19-8 | ||
| 分子结构 | ![]() | ||
| 产品形态 | 白色粉末 | ||
| 规格 | 测试项目 | 指标 | |
| 纯度 (%) | 98.00 min | ||
| 熔点 (℃) | 110.00-125.00 | ||
| 挥发分 (%) | 0.50 max | ||
| 透光率 (%) | |||
| 425nm | 95.00 min | ||
| 500nm | 97.00 min | ||
| 应用 | Yihoo AN1010 是一种高性能的空间位阻酚类抗氧剂,主要针对聚丙烯 (PP) 树脂进行了优化。它也适用于多种聚合物材料,包括聚乙烯 (PE)、聚苯乙烯 (PS)、ABS 树脂、聚氨酯、PBT 树脂、PVC、聚酯、聚甲醛、聚酰胺以及各种合成橡胶。此外,它还可用作多种天然和合成油品的优质抗氧剂。 | ||
| 包装 | 25kg 纸箱/袋 | ||









